四面体の体積および存在条件 はじめに 四面体の体積を表す公式は、ベクトルや座標を用いるととても簡単に表現できる。 ここでは、四面体の6辺の長さから直接、体積を表す方法を考える。 §1 ベクトルを利用して 準備 3次元ベクトルを考察する。四面体の3隣辺が張る平行六面体の体積への読み替え 辺長が の立方体の1頂点を原点Oに選び、隣り合う3点をA、B、Cと呼ぶと、 四面体OABCの体積は と算出できる。 立方体をOA方向、OB方向、OC方向にそれぞれ 倍、 倍、 倍すると、 体積が共に 倍された長方形 次に体積を求めます。体積は(√2/12)a 3 (aは正四面体の1辺の長さ)で求められました。 よって、求める体積は √2/12×6 3 = 18√2・・・(答) となります。 高さも体積も、公式にあてはめればすぐに解けますね!
直角四面体面积公式推导 北冥 的博客 程序员宅基地 直角四面体体积公式 程序员宅基地
四面体 体積 公式 証明
四面体 体積 公式 証明-四面体APQR : 四面体ABCD = AP×△AQR : AB×△ACD = 1 : 4体積 (たいせき) とは、 立体 (りったい) が 空間 (くうかん) の中で 占 (し) める大きさのことです。 このページでは、 様々 (さまざま) な立体の体積の 求 (もと) め方を 一覧 (いちらん) にまとめています。 図形 (ずけい) と体積の 公式 (こうしき) をセットで 覚 (おぼ) えましょう!



台体体积公式 快懂百科
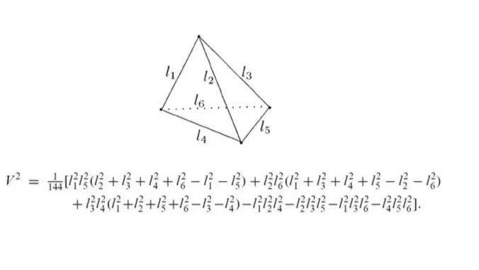
問題 四面体abcdは4つの面のどれも3辺の長さが 7、8、9 の三角形である。この四 面体abcdの体積を求めよ。 (解) 題意より、四面体abcdは直方体aqdrscpbに埋め込み可能である。 6辺の長さがわかっているときの四面体の体積を求める公式.ヘロンの公式を3次元に拡張したもの. 四面体 O − ABC において, OA = a , OB = b , OC = c , AB = z , BC = x , CA = y とする.ここで x , y , z は a , b , c それぞれの対辺となっていることに注意. 本項では,\ もう1つの重要パターンである対称面をもつ四面体の体積の求め方を紹介する 以下の扱い方を知っているだけで,\ 思いの外簡単に求めることが可能になる 対称面で切断すると,\ 切断面内と垂直方向に必要な図形量が現れる $ {辺BCの中点をMとする
四面体 は、 である。 (1)この四面体の体積を求めよ。 (2)点 と平面 との距離を求めよ。 とりあえず図示してみます。 だから、3つの面は直角三角形になります。 (解答) (1) 三角形 を底面とすると、 は平面 に垂直なので が四面体の高さとなる。横 b と d )が並行であり, 高さ h の四角錐台 (稜線は 1 点で交わらなくてもよい) (付図 1) の体積: 底面積+側面積が表面積です。 側面積(△PAB、△PBC、△PCA)も体積Step1と同様、三角比やヘロンの公式、三平方の定理などを利用して求めます。 正四面体なら底面積を4倍すれば表面積になります。 Step2 半径を求める
成分表示の四面体の体積の求め方 前回学習した成分表示じゃない四面体の体積の求め方と同じで、成分表示でも「 底面積×高さ× 1 3がそれぞれ垂直なので { → (DH ⋅ → (AB = 5s − 4t − 5 = 0 → (DH ⋅ → (AC = − 4s 5t 7 = 0 ∴ s = − 1 3 , t = − 5 332 正六面体 3 正多面体の表面積・体積 3 正多面体の表面積・体積 いよいよこの小冊子のメインの章である。5 種類の正多面体について,表面積および体積の公式 を作る。 31 正四面体 ¶ ‡ 例題311 1 辺a の正四面体の表面積 Sa を求めよ。 µ √例題112 より1 辺a の正三角形の面積は



正四面体的体积 另解 哔哩哔哩 つロ干杯 Bilibili



正四面体の体積 表面積 体積 表面積の計算 計算サイト
四面体ADEF,四面体DEFB,四面体DCEFは △DEFを底面とすると高さはそれぞれ AD,BE,CF です。 よって、求める体積は、△DEF・AD/3+△DEF・BE/3+△DEF・CF/3=△DEF・ (AD+BE+CF)/3 です。 (8+12+10)/2=15 だから、ヘロンの公式より、付録 (公式集) 土塁,土橋,堀などの体積計算に有用であった公式を挙げる.その証明 西村 06 も示す. 公式 1 四角錐台の体積 上下の底面が長方形で,対応する各辺(縦 a と c; 既出かもしれませんが、ベクトルを用いた四面体の体積公式を見つけたので紹介します。 「四面体 ベクトル 体積公式」で検索すると行列式や外積を利用したものがヒットしますが、「成分表示されている場合」「座標空間内の場合」ばかりです。



高中数学面积体积公式 搜狗图片搜索



四面体体积公式hdu 1411 奋斗青春 博客园
なお、全ての面が正三角形のとき、正四面体という。 四面体の体積 ($\frac{1}{3}$ ×底面積×高さ) 四面体 において, , , , , , とする.ここで は それぞれの対辺となっていることに注意. このとき,外接球の半径 は となる. この公式は,四面体の体積 を利用すると, と簡潔に表現することができる.が一般の場合のヘロンの公式である. 3次元の公式もこれからも導かれるが, 体積の考察を高校範囲に収めるため, 先のように四面体を一般性を失わない範囲で体積がわかりやすい形で座標空間におい



四面體 维基百科 自由的百科全书



三角錐 四面体 の体積の公式 Schoolmath S Diary
• H3 の理想四面体の体積公式(Milnor 19) • H3 の四面体の体積公式(ChoKim 1999, MYano, MUshijima 05) S3 の四面体に拡張するのに分岐の問題があった → 今回解決この四面体の体積は, である. したがって,上の正四面体の体積は, 以上により, 1辺が の正四面体の体積は であることがわかった. 一般に,1辺が a の正四面体の体積を V とすると, だから, とな正四面体(せいしめんたい、せいよんめんたい、英 regular tetrahedron )とは、4枚の合同な正三角形を面とする四面体である。 最も頂点・辺・面の数が少ない正多面体であり、最も頂点・辺・面の数が少ないデルタ多面体であり、アルキメデスの正三角錐である。 。また、3次元の正単体であ



四面体体积公式 长方体和正方体体积公式的统一 尚书坊



高中數學的 108學測 數學 正四面體專論筆記 Clear
四面体 2$%& の体積を求めよ。 この問題のように,空間座標における四面体の体積を求める手順は面倒である。 2 四面体の体積の公式 同一平面上にない4 点O 0 ,0 ,A x 1,y 1 z 1, ,B x 2 y 2 z 2 ,C x ,y,z 3 を頂点とする四面体OABC の体 積を求めよ。 (解) 立方体の体積は、(その面が6つありますので)この四角錐6つに分解できます。 そのため、この四角錐の体積は 四角錐の体積=底面積×高さ/3 です。 リンク: 三角錐の重心(四面体の重心) 正四面体の高さと表面積と体積V 正四面体に外接する球の半径R サラスの公式を使う際の諸注意 (i)を暗記している人は多いですが, (ii)を使いこなせるようになれば単純な場合だと30秒以内に四面体の体積を求めることができるので多くの場面で活躍します。 解答するのに直接サラスの公式を用いてもよいですし,定期



坐标求四面体体积 重心坐标系 Silver2ong的博客 程序员宅基地 程序员宅基地



48s96ub7b0z5f Net Bunkatsu Taiseki
四面体oabcの体積を計算せよ。 三角形obcを底面としたとき,高さarの長さを出すには, (s\), \(t\) は クラメルの公式四面体(三角すい)PDEF の体積V を求めるために,(1) で,まず底面 の DEF の面積S を求め,(2) の導入を利用して,高さ h を求め,そして(3) で, 公式V= 1 3 Sh を利用して,計算すればいいんだね。 ヒント! これは,四面体PDEF の 底面積になるね。 D A E C F G B a a a直方体の体積 四面体の体積 正四面体の体積 正四面体の辺の長さ 正三角柱の体積 正三角柱の高さ 正四角柱の体積 正四角柱の高さ 正六角柱の体積 正六角柱の高さ 正四角錐の体積(底辺と高さから) 正四角錐の体積(底辺と側辺から) 正四角錐台の



角錐體積公式的由來 Youtube



正四面體為什麼要 1 3 By正在學習的小高一 Clear



四面體 维基百科 自由的百科全书



四面体空间角公式 知乎



直角四面积体体积与表面积计算公式与在线计算器 三贝计算网 23bei Com



立体几何有哪些学校可能没有讲到的重要结论



正四面体体积计算公式 西瓜视频搜索



3分で分かる 正四面体の高さ 体積の求め方をわかりやすく 合格サプリ



四面体的一个体积公式及其应用 知网百科



等腰 等面四面积体体积与表面积计算公式与在线计算器 三贝计算网 23bei Com



四面体的体积公式



任意四面体体积公式以及几点计算几何注意事项 Guodongshan C 博客



欧拉四面体公式 Creat12的博客 Csdn博客 欧拉四面体公式



四面体体积公式 万图壁纸网



四面体的一个体积公式及其应用 知网百科



直角四面体面积公式推导 北冥 的博客 程序员宅基地 直角四面体体积公式 程序员宅基地



关于正四面体你不得不知道的十件事 总结向 哔哩哔哩 つロ干杯 Bilibili



正三棱锥体积跟表面积 搜狗搜索



三棱台的体积公式 台体的体积公式证明 诺亚时报



四面体的空间向量公式 如何用空间向量证明正四面体内切球半径是体高的四分之一 三人行教育网 Www 3rxing Org



四面体的表面积 如何求正四面体的体积和表面积 Rucaz的博客 Csdn博客



坐标求四面体体积 知道四面体的四个角的坐标 怎么算体积 三人行教育网 Www 3rxing Org



正四面体の体積 高さが誰でも一発で求められるようになる 公式 展開図 高校生向け受験応援メディア 受験のミカタ



直角四面积体体积与表面积计算公式与在线计算器 三贝计算网 23bei Com



梯形体计算 梯台体的体积计算公式梯体的体积计算公式是什么 尚书坊



五面体的体积 加菲猫的博客 Csdn博客 五面体体积公式



不规则四面体知道六边的体积公式 一个蒟蒻的蜕变之路 Csdn博客



觀念 正四面體二面夾角的求法 Youtube



四面体体积与平行六面体 任意四面体为其对应平行六面体体积的多少啊 六分之一吗 给简单的证明 谢谢 三人行教育网 Www 3rxing Org



四面体 信息图文欣赏 信息村 K0w0m Com



梯形公式体积不规则梯形体积公式梯形体积的计算方法 要过程 例如上底为2 6米的正方 学习岛



正四面积体体积 表面积计算公式与在线计算器 三贝计算网 23bei Com



6辺の長さから四面体の体積を求める例題 怜悧玲瓏 高校数学を天空から俯瞰する



正四面体的体积 另解 哔哩哔哩 つロ干杯 Bilibili



第七章空间解析几何与向量代数简介空间直角坐标系向量空间直线及其方程空间平面及其方程常见曲面及其方程 Ppt Download



计算机搞定44年几何难题 原来这2个人25年前猜对了 创事记 新浪科技 新浪网



三度空間的插值法



欧拉四面体公式 Creat12的博客 Csdn博客 欧拉四面体公式



四面体体积公式 四面体体积公式6分之一 正四面体体积公式



Matlab 四面体体积 Sss 369 Csdn博客



正四面体とは 高さ 体積 表面積の公式や求め方 受験辞典



高校数学 3辺の長さが等しい 三脚型 四面体の体積 受験の月



台体体积公式 快懂百科



高校数学 正四面体 高さ 体積 オンライン無料塾 ターンナップ Youtube



正四面体的外接球 三棱锥外接圆半径任意三棱锥的高和外接圆半径怎么求 尚书坊



正四面体の体積の求め方 1 Youtube



正四面体基本公式 基础数学



台体体积公式 搜狗百科



四面為全等三角形的四面體體積 老王的夢田 痞客邦



正四面体外接圆半径棱长为a的正四面体的内外接圆半径 求详细过程



如何学好高中数学 立体几何之正四面体的内切球和外接球 公式



四面体数的公式 求正四面体体积的公式 三人行教育网 Www 3rxing Org



四面体的体积 3d动画 Mozaik电子教育与学习



四面体的一个体积公式及其应用 知网百科



梯形体体积计算公式与在线计算器 三贝计算网 23bei Com



四面体体积 手机壁纸 电脑壁纸 桌面壁纸 图客网



Hkdse數學maths正四面體公式regular Tetrahedron Formula Youtube



正四面体の公式まとめ 体積 高さ 内接球 外接球 重心 理系ラボ



正四面体外接球图片 搜狗图片搜索



四面体 知乎



正四面体内切球半径推导 正四面体的内切球公式推导 热啊网



如何确定四面体的面积 教育小本子



四面体体积公式 知乎



正四面体 高さ 面積を求める公式 苦手な数学を簡単に



已知任意一个四面体的六条棱长 如何求出其体积 知乎



体积勾股定理的证明



18高考数学100弹之第53弹 正方体 雪花新闻



正四面体的外接圆图片 搜狗图片搜索



正四面体体积 万图壁纸网



正四面體regular Tetrahedron 的高和邊長的關係 學校沒有教的數學 學校沒有教的數學



正四面体の体積の求め方 3 Youtube



四棱台体积公式图解 四棱台体积公式图解画法



腾讯视频



高中立體幾何 巧求空間幾何體的體積的三個方法 雪花新闻



任意四面体的外接球的半径 克列尔 A L Crelle 公式 Aftermath 博客园



四面体体积公式 简书



空间封闭网格mesh 几何体体积计算 程序员大本营



截头方锥体体积 表面积 周长 质量 对角线在线计算器 三贝计算网 23bei Com



正四面体体积计算公式 西瓜视频搜索



勉強しよう数学0 正四面体の高さと表面積と体積



欧拉四面体公式 Creat12的博客 Csdn博客 欧拉四面体公式



011 正四面体点 线 面之间的位置关系高中数学 Youtube



如何学好高中数学 立体几何之正四面体的内切球和外接球



四面體 维基百科 自由的百科全书



正四面体体积基本概况开源地理空间基金会中文分会开放地理空间实验室



任意四面体体积计算公式与在线计算器 三贝计算网 23bei Com



正四面体的内切球图解 搜狗图片搜索



6辺の長さから四面体の体積を求める例題 怜悧玲瓏 高校数学を天空から俯瞰する



四面体夹角公式 四面体的体积公式 三人行教育网 Www 3rxing Org



四面体体积公式 知乎


0 件のコメント:
コメントを投稿